进程管理:操作系统的核心调度与控制机制
进程是操作系统中最核心的概念之一,它是程序的动态执行过程,也是系统资源分配和调度的基本单位。进程管理通过对进程的创建、状态转换、同步、通信及死锁处理等机制的设计,实现了多程序并发执行,大幅提升了计算机系统的资源利用率。本文将系统解析进程管理的核心内容。
进程的基本概念与组成
进程的定义
进程是执行中的程序,是一个动态的概念。与静态的程序(存储在磁盘上的指令和数据)不同,进程具有生命周期,会经历创建、运行、暂停、终止等状态变化。
进程的组成
一个完整的进程由三部分构成:
- 程序块:进程执行的指令集合(即程序本身)。
- 数据块:程序运行时所需的数据(如变量、常量、输入输出数据)。
- 进程控制块(PCB,Process Control Block):描述和控制进程运行的核心数据结构,是进程存在的唯一标识。
进程控制块(PCB):进程的 “身份证”
PCB 是操作系统管理进程的关键数据结构,常驻内存,记录了进程的全部状态信息。其主要字段包括:
| 字段 | 作用描述 |
|---|---|
| 标识符(PID) | 唯一标识一个进程的数字编号(如 Linux 中的pid),用于进程间区分。 |
| 状态 | 记录进程当前的状态(如运行态、就绪态、阻塞态),是调度的重要依据。 |
| 优先级 | 决定进程获取 CPU 的优先顺序(数值越高,优先级越高)。 |
| 程序计数器(PC) | 指向进程即将执行的下一条指令的地址,用于进程切换时恢复执行位置。 |
| 内存指针 | 包括程序代码的内存地址(代码段)、数据的内存地址(数据段)和堆栈地址。 |
| 上下文数据 | 进程执行时 CPU 寄存器中的数据(如累加器、通用寄存器值),用于进程切换时保存现场。 |
| I/O 状态信息 | 记录进程打开的文件描述符、I/O 设备使用情况等。 |
| 记账信息 | 进程占用 CPU 的时间、内存使用量、磁盘 I/O 次数等统计数据,用于资源计费或性能分析。 |
示例:当进程被暂停时,操作系统会将其上下文数据存入 PCB;当进程恢复运行时,再从 PCB 中读取数据恢复到 CPU 寄存器,确保进程能继续执行。
进程与线程:资源与调度的最小单位
进程和线程是多任务并发的核心载体,二者既有联系又有区别:
核心区别
| 维度 | 进程(Process) | 线程(Thread) |
|---|---|---|
| 资源分配单位 | 系统进行资源分配的基本单位(拥有独立的内存、文件描述符等)。 | 操作系统调度的最小单位(不拥有独立资源,共享进程资源)。 |
| 上下文切换开销 | 大(需切换 PCB、内存映射等)。 | 小(只需切换线程上下文,共享进程资源)。 |
| 独立性 | 高(一个进程崩溃不影响其他进程)。 | 低(同一进程内线程共享资源,一个线程崩溃可能导致进程崩溃)。 |
| 通信方式 | 需通过进程间通信(IPC)机制(如管道、消息队列)。 | 可直接通过共享内存通信(如全局变量)。 |
线程的优势
在多任务场景中,线程比进程更轻量:
- 创建速度快:无需分配独立内存,仅创建线程控制块(TCB)。
- 切换效率高:上下文切换无需修改内存映射,开销仅为进程的 1/10~1/100。
- 资源共享便捷:同一进程的线程共享代码段、数据段和文件资源,通信成本低。
示例:浏览器的多个标签页通常对应多个进程(相互隔离,一个崩溃不影响其他),而单个标签页内的渲染、网络请求等任务则由多个线程协作完成(共享页面资源)。
进程的状态模型与转换
进程在生命周期中会经历多种状态,最经典的是三态模型,扩展后还包括创建态、终止态等。
三态模型核心状态
- 运行态(Running):进程正在 CPU 上执行(单 CPU 系统中,同一时刻只有一个进程处于此状态)。
- 就绪态(Ready):进程已获得除 CPU 外的所有资源,等待调度器分配 CPU。
- 阻塞态(Blocked/Waiting):进程因等待某一事件(如 I/O 完成、信号量释放)而暂停,即使分配 CPU 也无法执行。
状态转换规则
- 就绪态 → 运行态:调度器选中该进程,分配 CPU(唯一能直接进入运行态的状态)。
- 运行态 → 就绪态:
- 时间片用完(如时间片轮转调度)。
- 被高优先级进程抢占(抢占式调度)。
- 运行态 → 阻塞态:进程请求资源(如读文件)或等待事件(如
sleep()),主动放弃 CPU。 - 阻塞态 → 就绪态:进程等待的事件完成(如 I/O 结束),重新具备运行条件,进入就绪队列等待调度。
示例:当你在编辑器中按下 “保存” 按钮时,进程从运行态转为阻塞态(等待磁盘写入完成);写入完成后,进程从阻塞态转为就绪态,等待 CPU 调度继续运行。
进程同步:解决并发冲突的机制
多个进程并发执行时,若共享资源(如打印机、共享变量),可能因操作顺序不当导致数据不一致(如 “丢失更新”)。进程同步的目标是协调进程执行顺序,确保资源使用的安全性。
同步机制的四大原则
- 空闲让进:当资源空闲时,允许等待的进程立即使用。
- 忙则等待:当资源被占用时,其他进程必须等待,不能强行占用。
- 有限等待:进程等待资源的时间必须有限(避免 “饿死”)。
- 让权等待:进程等待时需释放 CPU(避免 “忙等”,提高 CPU 利用率)。
经典同步工具:信号量与 PV 操作
信号量(Semaphore)是一种特殊变量,用于表示资源的可用数量,通过 PV 操作实现同步与互斥:
- P 操作(Proberen,测试):请求资源
S = S - 1
若S ≥ 0:进程获得资源,继续执行。
若S < 0:进程阻塞,加入等待队列。 - V 操作(Verhogen,增加):释放资源
S = S + 1
若S > 0:资源仍有剩余,无进程等待。
若S ≤ 0:唤醒等待队列中的一个进程,使其获得资源。
(1)互斥模型(解决资源独占问题)
当资源只能被一个进程使用时(如打印机),信号量S初始值为 1:
进程使用资源前执行
P(S)(申请),使用后执行V(S)(释放)。示例:
1
2
3
4
5
6
7
8
9
10
11semaphore S = 1; // 初始化信号量,表示1个资源
process P1() {
P(S); // 申请打印机
使用打印机;
V(S); // 释放打印机
}
process P2() {
P(S); // 若P1未释放,P2会阻塞
使用打印机;
V(S);
}
(2)同步模型(解决执行顺序问题)
当进程需按特定顺序执行时(如 A 完成后才能执行 B),信号量S初始值为 0:
前驱进程执行完后执行
V(S),后继进程开始前执行P(S)。示例(A→B):
1
2
3
4
5
6
7
8
9semaphore S = 0; // 初始无资源
process A() {
执行操作;
V(S); // A完成,释放信号量
}
process B() {
P(S); // 等待A完成(S=0时阻塞,A执行V后S=1,B继续)
执行操作;
}
(3)前趋图(描述同步关系)
前趋图是一种有向无环图(DAG),用于表示进程间的执行顺序:
节点表示进程或操作,有向边
X→Y表示 “X 完成后 Y 才能开始”。示例:若前趋图为X→Y→Z,则需设置两个信号量S1和S2
(初始值 0):
- X 执行完
V(S1),Y 开始前P(S1)。 - Y 执行完
V(S2),Z 开始前P(S2)。
- X 执行完
可以通过前趋图来推出来PV操作
该对应的PV操作如下
死锁:进程间的无限等待
死锁是多进程并发时的经典问题,指两个或多个进程互相等待对方占用的资源,导致所有进程无法继续执行。
死锁产生的四大必要条件
- 互斥条件:资源只能被一个进程占用(如打印机)。
- 持有并等待:进程持有部分资源,同时等待其他资源。
- 不剥夺条件:已分配的资源不能被强制收回。
- 环路等待:多个进程形成资源请求循环链(如 P1 等待 P2 的资源,P2 等待 P1 的资源)。
示例:
- 进程 P1 占用打印机,请求扫描仪;
- 进程 P2 占用扫描仪,请求打印机;
- 两者形成环路等待,导致死锁。
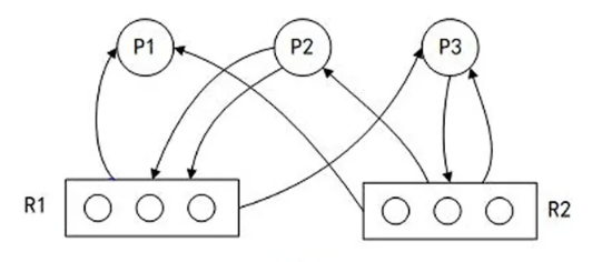
进程资源图:死锁检测的可视化工具
进程资源图(Process-Resource Graph)是描述进程与资源关系的有向图,可直观判断系统是否存在死锁。
组成元素
- 进程节点:用圆圈
○表示,标注进程名称(如P1)。 - 资源节点:用方框
□表示资源类型,方框内的小圆圈数量表示该资源的实例数(如R1方框内有 2 个小圆圈,表示R1有 2 个实例)。 - 有向边:
- 申请边:进程→资源(如
P1→R2,表示 P1 申请 R2)。 - 分配边:资源→进程(如
R1→P1,表示 R1 的一个实例已分配给 P1)。
- 申请边:进程→资源(如
通过资源图化简判断死锁
资源图的可化简性是死锁的判断依据,化简步骤如下:
- 寻找非阻塞进程:进程申请的资源均可被满足(即申请边对应的资源有空闲实例),该进程可执行至完成。
- 化简进程:假设非阻塞进程完成,释放其占有的所有资源(移除分配边和申请边,删除进程节点)。
- 重复化简:若所有进程节点都被移除(完全化简),则无死锁;若剩余进程无法化简(形成循环等待),则存在死锁。
示例:
- 资源图中
P1→R2(申请)、R2→P2(分配)、P2→R1(申请)、R1→P1(分配),且R1和R2均只有 1 个实例。 - 化简时无任何非阻塞进程(P1 和 P2 的申请均无法满足),剩余进程形成环路,故存在死锁。
死锁的处理策略
| 策略 | 核心思想 | 示例方法 |
|---|---|---|
| 预防死锁 | 破坏四大条件中的至少一个。 | 按序分配资源(破坏环路等待);允许资源剥夺(破坏不剥夺条件)。 |
| 避免死锁 | 动态检测资源分配状态,确保系统处于 “安全状态”(即存在一个序列使所有进程能完成)。 | 银行家算法(模拟资源分配,判断是否会进入不安全状态)。 |
| 检测与解除 | 允许死锁发生,通过算法检测死锁,再手工或自动解除。 | 资源分配图化简法(检测死锁);撤销进程、剥夺资源(解除死锁)。 |
银行家算法:类似银行贷款,每次分配资源前计算 “最大需求”“已分配” 和 “剩余资源”,确保分配后仍有足够资源让部分进程完成,避免死锁。




v1.3.10